海院科研动态(107)| 海洋亚中尺度锋生过程和能量串级研究取得新进展
海洋锋面是全球气候系统的重要组成部分,在海洋能量循环和物质输运过程中扮演关键角色。在传统的准地转理论框架下,海洋锋面主要由中尺度(20-300公里)应变场驱动的水平汇聚流场生成。然而,锋生过程如何延伸至亚中尺度(0.2-20公里)并影响海洋的能量跨尺度传递,仍然缺乏深入研究。
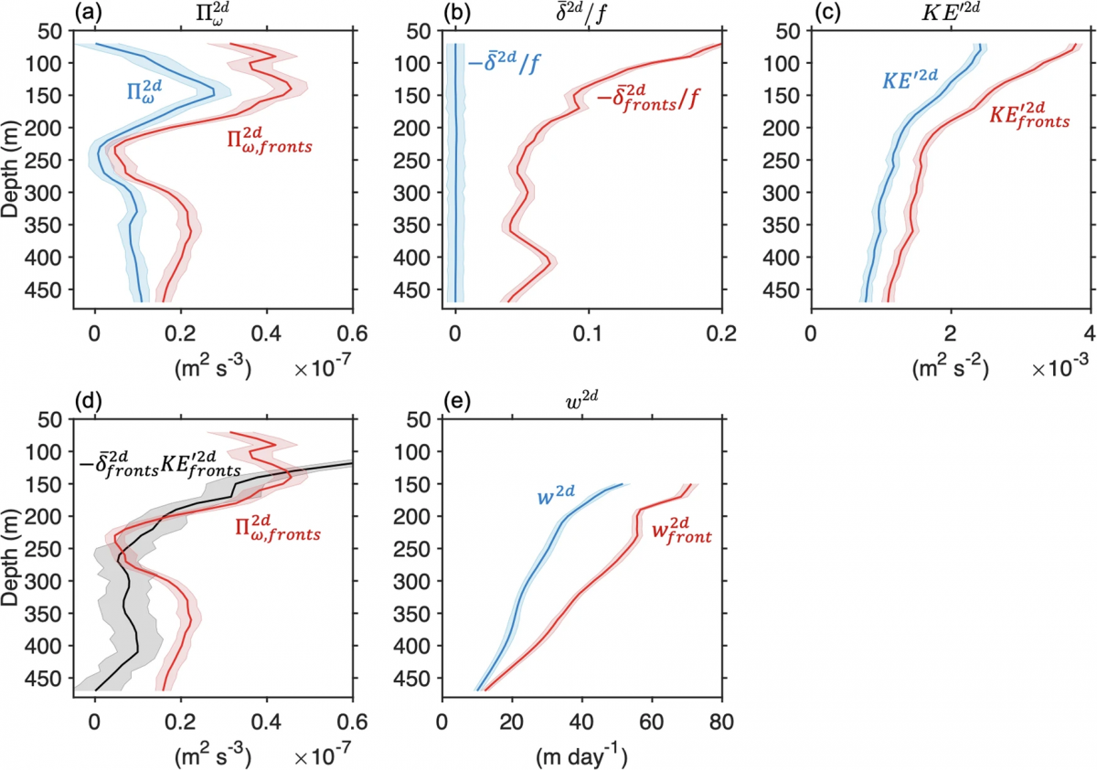
针对这一问题,我院海洋环流与物质输运研究团队及合作者基于高分辨率锚系潜标观测数据深入研究了上层海洋亚中尺度锋生过程的动力特征及其导致的能量传递。研究结果表明,上层海洋的锋生速率和水平辐聚具有显著的季节性和尺度依赖性,在季节上,冬季较强;在空间尺度上,公里级水平尺度的量值更大。随着水平尺度由O(10 km)减小至O(1 km),锋生速率与水平辐聚的相关性逐渐增强,表明水平辐聚流场是驱动亚中尺度锋生过程的主要因素。研究还发现,在亚中尺度锋生过程中海洋垂向流速快速增强,显著的非地转流场导致了动能的正向串级(即能量由大尺度过程向小尺度过程传递) (图1-2)。
图1. 冬季亚中尺度锋生事件分析。研究区域2013年2月7日的(a)海面高度异常和(b)海表温度瞬时快照。该事件过程中(c) 位势密度、(d) 水平动能、(e) 水平辐聚、(f) 锋生速率、(g) 垂向流速以及(h)跨尺度能量通量的时间序列演变。黑色实线表示混合层深度,竖直虚线表示海表温度瞬时快照的时刻在(c-h)中的位置。
图2. 冬季亚中尺度锋生过程相关的正向能量串级。(a) 跨尺度能量通量、(b) 水平辐聚、(c) 水平动能和(e)垂向流速的深度剖面图,蓝线表示冬季平均,红线表示冬季锋面平均。图d揭示了跨尺度能量通量(红线)与水平辐聚和水平动能(黑线)之间的关系。阴影区域表示95%的置信水平。
该发现弥补了传统准地转或半地转锋生理论的不足。在上述传统理论中,水平浮力梯度的增强可以在没有水平辐聚流场的情况下被动发生,并且通常伴随着能量的逆向串级。而本研究首次提供了非地转次级环流中的水平辐聚流场能够诱发亚中尺度锋生过程并导致能量正向串级的观测证据。同时,研究揭示了亚中尺度锋生过程在垂向输运中的关键作用,进一步突显了在气候尺度的海洋模型中参数化这些效应的必要性。
上述研究成果近期发表于中科院1区TOP期刊《Nature Communications》(Yu Xiaolong, Roy Barkan, Alberto C. Naveira Garabato. Intensification of submesoscale frontogenesis and forward energy cascade driven by upper-ocean convergent flows. 2024.), 我院于小龙副教授为论文第一作者和通讯作者, 合作者包括来自以色列特拉维夫大学的Roy Barkan教授和英国南安普顿大学的Alberto C. Naveira Garabato教授。
上述研究得到了国家自然科学基金项目、广东省自然科学基金项目以及中山大学中央高校基本科研业务费专项资金的支持资助。


