海院科研动态(129)| 高温高压实验揭示大洋俯冲带Nb-Ta分异与深部碳循环机制
俯冲带是大洋板块返回地球深部的区域,是地球圈层相互作用和物质循环的重要场所。大洋板块携带大量水和二氧化碳等挥发分进入到深部地幔,随着俯冲带温压条件升高可以熔融释放碳酸岩熔体,可能对一些重要元素循环产生影响。Nb-Ta元素行为非常相似,但是,二者在自然界(尤其是俯冲带)的分馏机制仍存在争议。那么,俯冲板块熔融产生的碳酸岩熔体如何影响Nb-Ta的迁移与分配,及其对岛弧岩浆和碳循环指示意义等,目前尚不清楚。
金红石是榴辉岩中Nb和Ta的主要寄主矿物,碳酸盐熔体对Nb和Ta的迁移和分异能力取决于Nb和Ta在金红石与碳酸盐熔体间的分配系数(D)。
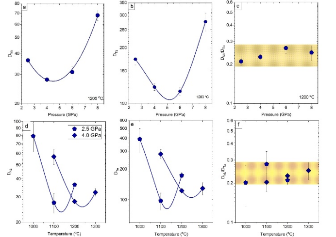
对此,我院海洋岩石地球化学与深部物质循环研究团队主导开展了高温高压实验模拟研究,分析了2.5-8万个大气压、1000-1300℃条件下Nb和Ta的分配行为,结果发现DNb和DTa随温度和压力的增加先降低后升高,但DNb/DTa几乎不受温度和压力的影响,保持在0.25附近(图1)。

图1. Nb和Ta在金红石与碳酸盐熔体分配系数及其比值与温度、压力的关系
基于测定的分配系数,本研究模拟计算了俯冲板块熔融过程残留含金红石榴辉岩的Nb/Ta特征,结果显示碳酸盐熔体从板块抽离后残留的含金红石的榴辉岩Nb/Ta值比原岩更低(图2),因此俯冲到地球深部的榴辉岩不是高Nb/Ta储库。

图2. 俯冲板块熔融过程碳酸盐熔体和残留榴辉岩的Nb/Ta值模拟计算
其次,该研究还模拟了板块来源的碳酸盐熔体交代岩石圈地幔对碳酸岩Nb/Ta分异的贡献,结果显示碳酸盐熔体交代仅能引起不超过2个数量级的Nb/Ta变化(图3)。

图3. 俯冲板块来源的碳酸盐熔体交代岩石圈地幔对碳酸岩Nb/Ta变化贡献的模拟计算
研究还发现在俯冲带温度条件下碳酸盐熔体比硅酸盐熔体对Nb/Ta的分异能力更强,碳酸盐熔体加入可以显著提高地幔楔的Nb/Ta值。同时,数据统计发现俯冲带原始硅饱和火山岩Nb/Ta与洋中脊玄武岩(MORB)一样,而硅不饱和火山岩Nb/Ta比MORB高1.5。
结合实验结果和天然数据,该研究认为俯冲带硅饱和岩石的地幔源区受到了洋壳玄武岩来源的硅酸盐熔体的交代,硅不饱和岩石的地幔源区受到了碳酸盐熔体的交代(图4)。俯冲带岩石高Nb/Ta特征可能指示地表碳酸盐俯冲再循环的过程。该研究对理解地球Nb-Ta“悖论”、深部碳循环和岛弧岩浆成因具有重要意义。

图4.俯冲带硅饱和岩石和硅不饱和岩石成因及深部碳循环示意图
文章相关信息
上述研究成果发表于国际地学权威期刊《Geochimica et Cosmochimica Acta 》(中科院一区 / Nature Index),题为“Partitioning of Nb and Ta between rutile and carbonatitic melts: Implications for genesis of arc magmas and carbon cycle at subduction zones”。我院陈伟副教授为论文第一作者,张国良教授为论文通讯作者,合作者有米兰大学Massimo Tiepolo教授。
该研究得到了国家重点研发计划项目“大洋板块俯冲背景下地幔过渡带挥发分的汇聚与释放”(2024YFF0807400)的资助。
原文链接
https://www.sciencedirect.com/science/article/pii/S0016703725005253


