海院科研动态(86)| 南海生态系统对海洋热浪事件的响应研究取得新进展
海洋吸收了温室气体产生的90%以上的额外热量,这导致海表温度在过去几十年中迅速上升。海洋热浪(marine heatwaves, MHWs)这一概念被提出用于确定这些可以持续数天至数年的极端海洋升温事件。研究表明,频繁和极端的MHWs正不断破坏海洋生态平衡,进而对主要类型的生态系统产生影响,例如造成珊瑚白化、海洋哺乳动物和海鸟大量死亡、有害藻华爆发和渔业资源减少等。MHWs对南海的威胁也日严峻,对南海珊瑚礁生态系统造成了不可逆的破坏,但目前对MHWs发生期间浮游植物的响应研究较为匮乏。
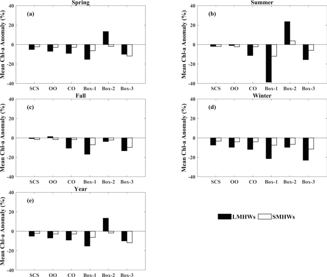
我院海洋遥感研究团队运用卫星资料和再分析产品,对1982-2021年南海海洋热浪进行了综合分析,将这些海洋热浪事件划分为短持续时间(SMHWs)和长持续时间海洋热浪(LMHWs),并研究了它们对南海生态系统的影响,特别是对叶绿素浓度的影响。研究结果显示,在中国沿海地区、南海西部和吕宋海峡西南部,观测到了高强度和频繁的海洋热浪事件。这些事件对叶绿素浓度产生了不同程度的影响,尤其是长持续时间海洋热浪事件在南海地区引发了显著的叶绿素减少。研究同时发现了海洋热浪事件影响这些地区叶绿素浓度的多种机制,包括南海西部的上升流和涡旋减弱、珠江口羽流分布的变化以及冬季吕宋海峡西南海域的减弱的混合层和的气旋环流。
这些发现将有助于更好地理解南海生态系统对海洋热浪事件的响应,为未来采取保护措施提供科学依据,并强调迫切需要采取紧急措施以减轻海洋热浪事件对南海生态系统的影响,特别是在珠江口及其邻近地区。
图1 1982至2021 年期间,(a)LMHWs总天数,(b) LMHWs平均强度 (MHWI)、(c) 中LMHWs最大强度 (MHWMI)、(d) LMHWs次数、(e) LMHWs持续时间和 (f) LMHWs累积强度 (MHWCI) 的空间分布。
图2 SMHW和 LMHW事件期间,各地区季节平均叶绿素-a(Chl-a)的百分比季节性异常。
以上研究成果近期发表在中科院海洋学重要期刊《Progress in Oceanography》(Wenbo He, Xiyuan Zeng, Lin Deng, Qi lin chun pi, Jun Zhao. Enhanced impact of prolonged MHWs on satellite-observed chlorophyll in the South China Sea)。论文第一作者为我院2022级博士研究生何文博,通讯作者为我院赵俊教授。
该研究工作得到国家自然科学基金、南方海洋与工程广东省实验室(珠海)和广东地理科学数据中心的资助。


